இவ்ளோவா...? தமிழ்நாட்டில் ரூ.461 கோடி அளவில் பணம், பரிசு மற்றும் போதை பொருட்கள் பறிமுதல்!தலைமை தேர்தல் ஆணையம் தகவல்!
நரேஷ்.என்.
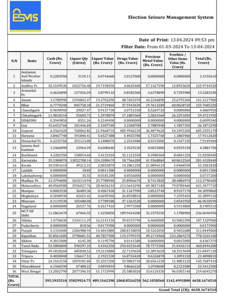
தமிழ்நாட்டில் ரூ.460 கோடியே 84 லட்சத்து 94 ஆயிரத்து 280 ரூபாய் அளவுக்கு பணம், மது பானம், பரிசு மற்றும் போதை பொருட்கள் பறிமுதல் செய்யப்பட்டிருப்பதாக இந்திய தலைமை தேர்தல் ஆணையம் தகவல் வெளியிட்டிருக்கிறது.
அதில் தெரிவித்திருப்பதாவது.
நாட்டின் 75 வது மக்களவைத் தேர்தல் வரலாற்றில் இதுவரை இல்லாத அளவுக்கு அதிகமான பணம் மற்றும் பொருட்கள் கைப்பற்றப்பட்டுள்ளது.
கடந்த 2019 ஆம் ஆண்டு தேர்தலின் போது கைப்பற்றப்பட்ட மொத்த பறிமுதல் தொகையை விட 2024 ஆம் ஆண்டு மக்களவைத் தேர்தலில் பன்மடங்கு அதிக அளவில் பணம், போதை பொருட்கள், பரிசு பொருட்கள் ஆகியவை பறிமுதல் செய்யப்பட்டிருக்கிறது.

2024 மக்களவை தேர்தல் அறிவிக்கப்பட்ட பின்னர் ஏப்ரல் 13ஆம் தேதி வரை 4,650 கோடி ரூபாய் மதிப்பிலான பணம் மற்றும் பொருட்கள், போதை பொருட்கள் உள்ளிட்ட மதுபானங்கள் உள்ளிட்டவை பறிமுதல் செய்யப்பட்டுள்ளன.
அந்த வகையில் ரொக்க பணம் என்று கணக்கில் எடுத்துக் கொண்டால், கடந்த 2019 ஆம் ஆண்டு ரூ.844 கோடியும், 2024 ஆம் ஆண்டு ரூ395.39 கோடியும் பறிமுதல் செய்யப்பட்டுள்ளன.
2019 ஆம் ஆண்டு பறிமுதல் செய்யப்பட்ட மதுபான வகைகளின் மதிப்பு ரூ.304.6 கோடி. 2024 ஆண்டு 489.3 கோடி ரூபாயும், 2019 ஆம் ஆண்டு போதைப்பொருள்கள் ரூ.1279.9 கோடி ரூபாய் மதிப்பிலானதும், 2024 ஆண்டில் ரூ2068.8 மதிப்பிலும், அதே போல் 2019 ஆம் ஆண்டு ஆபரண அணிகலன்கள் ரூ.987.11 கோடியும், 2024- தேர்தலில் ரூ.562.1 கோடியும், 2019 ஆம் ஆண்டில் கைப்பற்றப்பட்ட இலவச பொருட்கள் ரூ.60.15 கோடி எனவும், அதே 2024- ல் 1142.49 கோடி என்று தேசிய தலைமை தேர்தல் ஆணையம் அறிவித்துள்ளது.
மேலும், பணம், மதுபானம், போதை பொருட்கள் மற்றும் ஆபரண பொருட்களை வருமான வரித்துறை,அந்தந்த மாநில காவல் துறைகள், ரிசர்வ் பேங்க் ஆப் இந்தியா, மாநில விமான மாநில காவல் மற்றும் கலால் துறை, மத்திய ஆயுதப்படை, போதை பொருள் தடுப்பு பிரிவினர் சோதனையிட்டு கைப்பற்றியிருக்கிறார்கள். இதில் மாநில மற்றும் மத்திய ஜிஎஸ்டி அதிகாரிகள், மாநில போக்குவரத்து துறை, மாநில வருவாய் துறை போன்றவையும் அடக்கம்.

தமிழ்நாட்டைப் பொறுத்தவரை ரூ.53 கோடி 58 லட்சத்து 86 ஆயிரத்து 800 ரூபாய் ரொக்கமும், நாலு கோடியே 43 லட்சத்து 42 ஆயிரத்து 350 ரூபாய் மதிப்புள்ள, 5 லட்சத்து 90 ஆயிரத்து 297.33 லிட்டர் மதுபான வகைகள் பறிமுதல் செய்யப்பட்டுள்ளன.
போதைப் பொருள்.
தமிழ்நாட்டில் ரூ.293 கோடியே, 2 லட்சத்து 53 ஆயிரத்து 640 மதிப்புள்ள போதைப் பொருட்களும்,
பொருட்கள் 78 கோடியே 75 லட்சத்து 75 ஆயிரத்து 380 மதிப்பிலான ஆபரண மற்றும் பொருட்கள் பறிமுதல் செய்யப்பட்டன.
இலவச பொருட்கள்
ரூ.31 கோடியே 4 லட்சத்து 36 ஆயிரத்து110 மதிப்புள்ள பொருட்கள் பறிமுதல் செய்யப்பட்டுள்ளன.
ஆக மொத்தம் தமிழ் நாட்டில் ரூ.460 கோடியே 84 லட்சத்து 94 ஆயிரத்து 280 ரூபாய் மதிப்புள்ள மதுபான வகைகள், போதை பொருட்கள், இலவச பொருட்கள், ஆபரணம் மற்றும் பணம் ஆகியவை பறிமுதல் செய்யப்பட்டுள்ளது என இந்திய தேர்தல் ஆணையம் அறிவித்துள்ளது.

admin
